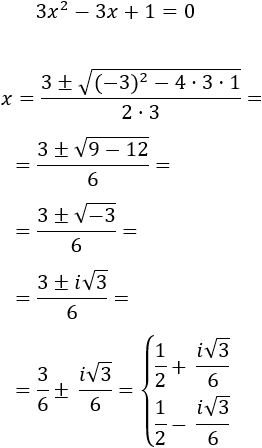
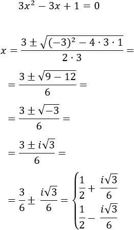
0368eed8184007082d27b0c72323b471 Publicado el 3 mayo, 2019 en 262 × 448 Ejemplo de un ejercicio simple de una ecuación de segundo grado.